GHRP-2負荷試験は二次性副腎不全の診断に使えるかもしれない。
コルチゾールの頂値のカットオフは11.6μg or 13-14μg/dLが目安。
今後のさらなるStudyが望まれる。
副腎不全の診断のゴールデンスタンダードにインスリン低血糖試験(ITT)があるが、虚血性心疾患やてんかんの既往があったり高齢者の場合は原則禁忌である。一方、GHRP-2負荷試験が二次性副腎不全の診断に有用とする報告もある。
今回、GHRP-2負荷試験による二次性副腎不全の診断特性について気になったので勉強してみた。
日本から症例数は多いとはいえないがいくつか報告が出ている。
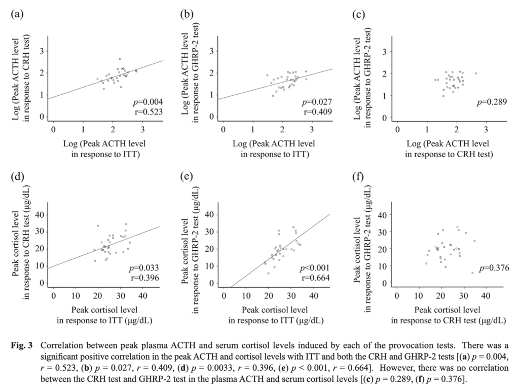
47例の症例でGHRP-2負荷試験、インスリン低血糖試験、CRH負荷試験を比較したStudy
ITTで副腎不全の診断基準を満たさないコントロール29例、視床下部性副腎不全12例、下垂体性副腎不全6例。



→CRHとGHRP-2がACTHを刺激する機序は異なる可能性がある。

15例の視床下部・下垂体疾患患者に対してインスリン低血糖試験、GHRP-2を行ったStudyでは、GHRP-2のCut offを13-14μg/dLにすると感度88.9%、特異度100%であった。

より大規模なStudyが望まれますが、これまでのStudyを参考にするとGHRP-2負荷試験でのコルチゾールのCut offは11.6μg/dLもしくは13-14μg/dL程度とするとよいようです。
インスリン低血糖試験と比べGHRP-2負荷試験は副作用がほとんどないため有用と考えられます。
GHRP-2負荷試験は二次性副腎不全の診断に使えるかもしれない。
コルチゾールの頂値のカットオフは11.6μg or 13-14μg/dLが目安。
今後のさらなるStudyが望まれる。
〈参考文献〉
Arimura H. Investigation of the clinical significance of the growth hormone-releasing peptide-2 test for the diagnosis of secondary adrenal failure. Endocr J. 2016;63:533-44. PMID: 27020037.
Kano T. Comparison of pituitary-adrenal responsiveness between insulin tolerance test and growth hormone-releasing peptide-2 test: a pilot study. Peptides. 2010;31:657-61. PMID: 20045717.
